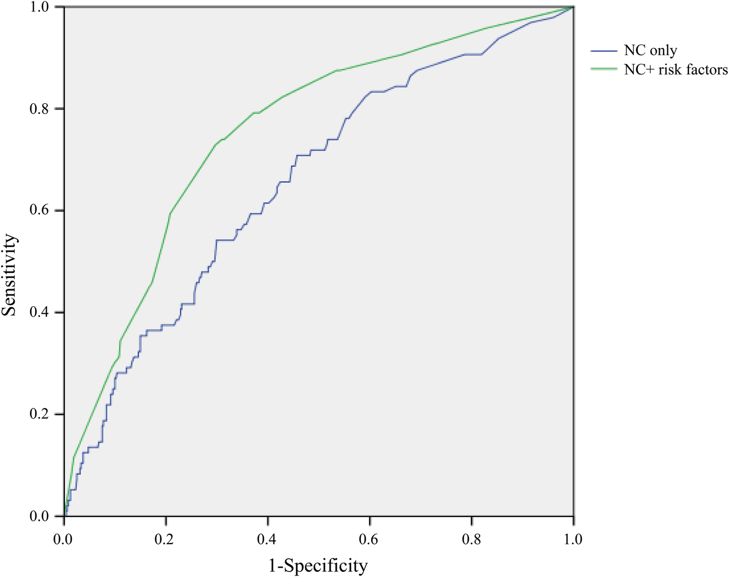
Fig. 3From: Combination of biomarker with clinical risk factors for prediction of severe acute kidney injury in critically ill patientsThe ROC curves show incorporation of clinic risk factors augments the predictive performance of the NephroCheck. NC only: NephroCheck (+); NC+ risk factors: age > 65 years, CKD, NephroCheck (+) and PCT (+)Back to article page